Nanotechnology Now

Our NanoNews Digest Sponsors
Heifer International



Home > Press > Tokyo Institute of Technology research: Antiaromatic molecule displays record electrical conductance

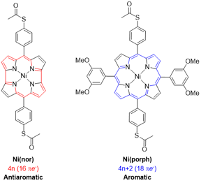
Figure 1.  Structures of the molecules used in the study of Fujii and colleagues.  
left: Antiaromatic norcorrole-based Ni complex, Ni(nor).  right: Aromatic Ni porphyrin-based complex, Ni(porph).
Figure 1. Structures of the molecules used in the study of Fujii and colleagues. left: Antiaromatic norcorrole-based Ni complex, Ni(nor). right: Aromatic Ni porphyrin-based complex, Ni(porph).

Abstract:
Researchers demonstrate high electrical conductance for an antiaromatic nickel complex — an order of magnitude higher than for a similar aromatic complex. Since the conductance is also tunable by electrochemical gating, antiaromatic complexes are promising materials for future electronic devices.

Tokyo Institute of Technology research: Antiaromatic molecule displays record electrical conductance

Tokyo, Japan | Posted on July 19th, 2017

Organic materials often have a lower production cost than traditional electric conductors like metals and semiconductors. Not all organic systems conduct electricity well, however. A class of organic materials known as antiaromatic compounds — featuring planar rings of carbon atoms sharing a number of electrons that is a multiple of 4 — have been predicted to be excellent conductors, but this prediction has been hard to verify since antiaromatic molecules are usually unstable. Now, Shintaro Fujii and Manabu Kiguchi from the Tokyo Institute of Technology and colleagues have performed a systematic study of charge transport in a single, stable antiaromatic molecule. Compared to a structurally related aromatic molecule (where the carbon rings share an extra two electrons), its record electrical conductance is an order of magnitude higher.

The researchers studied a particular norcorrole-based nickel complex, Ni(nor), which is antiaromatic but stable, and a structurally similar aromatic, porphyrin-based nickel complex, Ni(porph). They measured the conductivities of the two compounds by means of the scanning tunneling microscopy break-junction technique; in such a setup, the current through a single molecule sandwiched between two parts of a broken junction is measured as a function of applied voltage. With a conductance of over 4  10–4 conductance quanta, Ni(nor) is the most conductive known organometallic complex. Ni(porph) was found to have a value about 25 times less, a result confirming the superior conductivity of antiaromatic molecules. Via theoretical calculations of the molecules’ electronic structure and charge transport property, the scientists were able to identify the origin of the antiaromaticity-enhanced conductance: for Ni(nor), the lowest unoccupied molecular orbital lies closer to the Fermi level (the amount of work needed to add one electron to the system) than for Ni(porph).

Fujii and colleagues also succeeded in demonstrating tunability of the single-molecule conductance of Ni(nor). By applying a technique known as electrochemical gating, which enables controlling the molecular energy levels relative to the Fermi level of the source and drain electrodes (of the single-molecule junction) by varying an applied electrochemical potential, the researchers demonstrated a 5-fold modulation of the conductance of Ni(nor).

The findings of Fujii and colleagues show that antiaromatic materials are promising low-cost systems exhibiting high electrical conductance. In the words of the researchers, their study “provides relevant guidelines for the design of molecular materials for highly conducting single-molecule electronics.

Background
Aromaticity and antiaromaticity (Figure 2)
Organic molecules are called aromatic when they feature a planar ring of carbon atoms with resonance bonds — a type of bond intermediate between a single and a double bond, resulting in high chemical stability (i.e., low reactivity). The archetypal aromatic molecule is benzene, C6H6, featuring a hexagonal aromatic ring of carbon atoms. The number of electrons (so-called -electrons) shared by the ring is always a multiple of 4 plus 2 (for benzene, for example, it’s 6), a property known as Hückel’s rule.
Antiaromaticity is a similar property: a planar carbon ring, but with a number of -electrons that is a multiple of 4 (for cyclobutadiene, for example, it’s 4). Such a situation results in chemical instability.
Fujii and colleagues worked with a stable, nickel-based complex featuring an antiaromatic moiety. Compared to a similar complex with an aromatic moiety, its conductance is an order of magnitude larger, confirming the earlier prediction that antiaromatic molecules are excellent electric conductors.

Conductance
How well a material conducts electricity is expressed via a quantity called electrical conductance, G. It is the inverse of electrical resistance, R = 1/G. Conductance is defined as the ratio of the current I running through the material (or, in the present work, a single molecule) and the voltage V across it. The unit of conductance is the siemens, S, but conductance values are often given with respect to the conductance quantum, G0 ≈ 7.7  10–5 S.
Fujii and colleagues obtained values of the conductance for related antiaromatic and aromatic nickel-based complexes by measuring their current-voltage (I-V) characteristics in a scanning-tunneling microscopy (STM) setup.

Reference
Shintaro Fujii1, Santiago Marqués-González1, Ji-Young Shin2, Hiroshi Shinokubo2, Takuya Masuda3, Tomoaki Nishino1, Narendra P. Arasu4, Héctor Vázquez4, Manabu Kiguchi1,*, Highly-conducting molecular circuits based on antiaromaticity, Nature Communications, DOI: 10.1038/NCOMMS15984
1. Department of Chemistry, Graduate School of Science and Engineering, Tokyo Institute of Technology, Ookayama, Meguro-ku, Tokyo 152-8551, Japan
2. Department of Applied Chemistry, Graduate School of Engineering, Nagoya University, Aichi 464-8603, Japan
3. Global Research Center for Environment and Energy Based on Nanomaterials Science (GREEN), National Institute for Materials Science (NIMS), Tsukuba 305-0044, Japan
4. Institute of Physics, Academy of Sciences of the Czech Republic, Cukrovarnicka 10, Prague CZ-162 00, Czech Republic

####

About Tokyo Institute of Technology
Tokyo Institute of Technology stands at the forefront of research and higher education as the leading university for science and technology in Japan. Tokyo Tech researchers excel in a variety of fields, such as material science, biology, computer science and physics. Founded in 1881, Tokyo Tech has grown to host 10,000 undergraduate and graduate students who become principled leaders of their fields and some of the most sought-after scientists and engineers at top companies. Embodying the Japanese philosophy of “monotsukuri,” meaning technical ingenuity and innovation, the Tokyo Tech community strives to make significant contributions to society through high-impact research.

For more information, please click here

Contacts:

*Corresponding author email:
Contact
Emiko Kawaguchi
Public relations section,
Tokyo Institute of Technology

Tel: +81-3-5734-2975

Copyright © Tokyo Institute of Technology

If you have a comment, please Contact us.

Issuers of news releases, not 7th Wave, Inc. or Nanotechnology Now, are solely responsible for the accuracy of the content.

Bookmark:
Delicious Digg Newsvine Google Yahoo Reddit Magnoliacom Furl Facebook

Related News Press

Chemistry

Projecting light to dispense liquids: A new route to ultra-precise microdroplets January 30th, 2026

From sensors to smart systems: the rise of AI-driven photonic noses January 30th, 2026

News and information

Decoding hydrogen‑bond network of electrolyte for cryogenic durable aqueous zinc‑ion batteries January 30th, 2026

COF scaffold membrane with gate‑lane nanostructure for efficient Li+/Mg2+ separation January 30th, 2026

Breathing new life into nanotubes for a cooler planet:Researchers at Skoltech discover a simple, single-step heat treatment that nearly doubles the CO2-trapping power of carbon nanotubes January 30th, 2026

New light-based nanotechnology could enable more precise, less harmful cancer treatment: The approach offers a potential alternative to chemotherapy and radiation by using light and heat to target cancer cells. January 30th, 2026

Hardware

The present and future of computing get a boost from new research July 21st, 2023

A Carbon Nanotube Microprocessor Mature Enough to Say Hello: Three new breakthroughs make commercial nanotube processors possible March 2nd, 2020

Powering the future: Smallest all-digital circuit opens doors to 5 nm next-gen semiconductor February 11th, 2020

SUNY Poly Professor Partners with Leading Institutions on NSF Award for Quantum Information Science Research: SUNY Poly Research Builds Upon Recent Quantum-related Research Initiatives and Workshops January 27th, 2020

Possible Futures

Decoding hydrogen‑bond network of electrolyte for cryogenic durable aqueous zinc‑ion batteries January 30th, 2026

COF scaffold membrane with gate‑lane nanostructure for efficient Li+/Mg2+ separation January 30th, 2026

Breathing new life into nanotubes for a cooler planet:Researchers at Skoltech discover a simple, single-step heat treatment that nearly doubles the CO2-trapping power of carbon nanotubes January 30th, 2026

New light-based nanotechnology could enable more precise, less harmful cancer treatment: The approach offers a potential alternative to chemotherapy and radiation by using light and heat to target cancer cells. January 30th, 2026

Nanoelectronics

Lab to industry: InSe wafer-scale breakthrough for future electronics August 8th, 2025

Interdisciplinary: Rice team tackles the future of semiconductors Multiferroics could be the key to ultralow-energy computing October 6th, 2023

Key element for a scalable quantum computer: Physicists from Forschungszentrum Jülich and RWTH Aachen University demonstrate electron transport on a quantum chip September 23rd, 2022

Reduced power consumption in semiconductor devices September 23rd, 2022

Discoveries

From sensors to smart systems: the rise of AI-driven photonic noses January 30th, 2026

Decoding hydrogen‑bond network of electrolyte for cryogenic durable aqueous zinc‑ion batteries January 30th, 2026

COF scaffold membrane with gate‑lane nanostructure for efficient Li+/Mg2+ separation January 30th, 2026

Breathing new life into nanotubes for a cooler planet:Researchers at Skoltech discover a simple, single-step heat treatment that nearly doubles the CO2-trapping power of carbon nanotubes January 30th, 2026

Announcements

Decoding hydrogen‑bond network of electrolyte for cryogenic durable aqueous zinc‑ion batteries January 30th, 2026

COF scaffold membrane with gate‑lane nanostructure for efficient Li+/Mg2+ separation January 30th, 2026

Breathing new life into nanotubes for a cooler planet:Researchers at Skoltech discover a simple, single-step heat treatment that nearly doubles the CO2-trapping power of carbon nanotubes January 30th, 2026

New light-based nanotechnology could enable more precise, less harmful cancer treatment: The approach offers a potential alternative to chemotherapy and radiation by using light and heat to target cancer cells. January 30th, 2026

Interviews/Book Reviews/Essays/Reports/Podcasts/Journals/White papers/Posters

Metasurfaces smooth light to boost magnetic sensing precision January 30th, 2026

COF scaffold membrane with gate‑lane nanostructure for efficient Li+/Mg2+ separation January 30th, 2026

Breathing new life into nanotubes for a cooler planet:Researchers at Skoltech discover a simple, single-step heat treatment that nearly doubles the CO2-trapping power of carbon nanotubes January 30th, 2026

New light-based nanotechnology could enable more precise, less harmful cancer treatment: The approach offers a potential alternative to chemotherapy and radiation by using light and heat to target cancer cells. January 30th, 2026

NanoNews-Digest
The latest news from around the world, FREE




  Premium Products
NanoNews-Custom
Only the news you want to read!
 Learn More
NanoStrategies
Full-service, expert consulting
 Learn More











ASP
Nanotechnology Now Featured Books




NNN

The Hunger Project