Nanotechnology Now

Our NanoNews Digest Sponsors
Heifer International



Home > Press > Single atom alloy platinum-copper catalysts cut costs, boost green technology: New generation of catalysts demonstrated for selective hydrogenation of butadiene

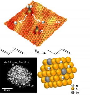
Atomic-resolution microscopy shows the single platinum atoms on copper nanoparticles that can split hydrogen into atoms enabling the efficient and selective hydrogenation of butadiene.
CREDIT: Tufts University
Atomic-resolution microscopy shows the single platinum atoms on copper nanoparticles that can split hydrogen into atoms enabling the efficient and selective hydrogenation of butadiene.

CREDIT: Tufts University

Abstract:
A new generation of platinum-copper catalysts that require very low concentrations of platinum in the form of individual atoms to cleanly and cheaply perform important chemical reactions is reported today by Tufts University researchers in the journal Nature Communications.

Single atom alloy platinum-copper catalysts cut costs, boost green technology: New generation of catalysts demonstrated for selective hydrogenation of butadiene

Medford/Sumerville, MA | Posted on October 11th, 2015

Platinum is used as a catalyst in fuel cells, in automobile converters and in the chemical industry because of its remarkable ability to facilitate a wide range of chemical reactions. However, its future potential uses are significantly limited by scarcity and cost, as well as the fact that platinum readily binds with carbon monoxide, which "poisons" the desired reactions, for example in polymer electrolyte membrane (PEM) fuel cells, which are the leading contenders for small-scale and mobile power generation not based on batteries or combustion engines.

The Tufts researchers discovered that dispersing individual, isolated platinum atoms in much less costly copper surfaces can create a highly effective and cost-efficient catalyst for the selective hydrogenation of 1,3 butadiene, a chemical produced by steam cracking of naphtha or by catalytic cracking of gas oil. Butadiene is an impurity in propene streams that must be removed from the stream through hydrogenation in order to facilitate downstream polymer production. The current industrial catalyst for butadiene hydrogenation uses palladium and silver.

Like Sugar in Coffee

Copper, while a relatively cheap metal, is not nearly as catalytically powerful as platinum, noted Professor of Chemistry Charles Sykes, Ph.D., one of the senior authors on the paper. "We wanted to find a way to improve its performance."

The researchers first conducted surface science experiments to study precisely how platinum and copper metals mix. "We were excited to find that the platinum metal dissolved in copper, just like sugar in hot coffee, all the way down to single atoms. We call such materials single atom alloys," said Sykes.

The Tufts chemists used a specialized low temperature scanning tunneling microscope to visualize the single platinum atoms and their interaction with hydrogen. "We found that even at temperatures as low as minus 300 degrees F these platinum atoms were capable of splitting hydrogen molecules into atoms, indicating that the platinum atoms would be very good at activating hydrogen for a chemical reaction," Sykes said.

With that knowledge, Sykes and his fellow chemists turned to long-time Tufts collaborator Maria Flytzani-Stephanopoulos, Ph.D., the Robert and Marcy Haber Endowed Professor in Energy Sustainability at the School of Engineering, to determine which hydrogenation reaction would be most significant for industrial applications. The answer, she said, was butadiene.

The model catalyst performed effectively for that reaction in vacuum conditions in the laboratory, so Flytzani-Stephanopoulos's team took the study to the next level. They synthesized small quantities of realistic catalysts, such as platinum-copper single atom alloy nanoparticles supported on an alumina substrate, and then tested them under industrial pressure and temperatures.

"To our delight, these catalysts worked very well and their performance was steady for many days," said Flytzani-Stephanopoulos. "While we had previously shown that palladium would do related reactions in a closed reactor system, this work with platinum is our first demonstration of operation in a flow reactor at industrially relevant conditions. We believe this approach is also applicable to other precious metals if added as minority components in copper."

Further, the researchers found that the reaction actually became less efficient when they used more platinum, because clusters of platinum atoms have inferior selectivity compared with individual atoms. "In this case, less is more," said Flytzani-Stephanopoulos, "which is a very good thing."

Environmental Benefits

Because platinum is at the center of many clean energy and green chemicals production technologies, such as fuel cells, catalytic converters, and value-added chemicals from bio-renewable feedstocks, the new, less expensive platinum-copper catalysts could facilitate broader adoption of such environmentally friendly devices and processes, she added.

The work is the latest fruit from a long cross-disciplinary partnership between Sykes and Flytzani-Stephanopoulos.

"Maria and I met more than seven years ago and talked regularly about how to combine our fairly different fields of research into an effective collaboration across the schools of Arts and Sciences and Engineering," said Sykes. "I had a state-of-the-art microscope that could see and manipulate atoms and molecules, and I wanted to use its unique capabilities to gain insight into industrially important chemical reactions. In the early 2000s, Maria's group had pioneered the single-atom approach for metals anchored on oxide supports as the exclusive active sites for the water-gas shift reaction to upgrade hydrogen streams for fuel cell use. Catalyst design know-how already existed in her lab. In retrospect, it seems obvious that combining forces would be a 'natural' development. Together we embarked on a new direction involving single atom alloys as catalysts for selective hydrogenation reactions. Our microscope was uniquely suited for characterizing the atomic composition of surfaces. We got funding from the National Science Foundation, U.S. Department of Energy and the Tufts Collaborates initiative to pursue this new area of research."

Sykes and Flytzani-Stephanopoulos have used this approach to design a variety of single atom alloy catalysts that have, in the last two years, sparked international interest.

"Traditionally catalyst development happens by trial and error and screening many materials," said Flytzani-Stephanopoulos. "In this study we took a fundamental approach to understanding the atomic scale structure and properties of single atom alloy surfaces and then applied this knowledge to develop a working catalyst. Armed with this knowledge, we are now ready to compare the stability of these single atom alloy catalysts to single atom catalysts supported on various oxide or carbon surfaces. This may give us very useful criteria for industrial catalyst design."

###

The research was primarily performed by co-authors Felicia R. Lucci and Jilei Liu, senior graduate students in the Sykes and Stephanopoulos labs, respectively. Other authors on the paper are doctoral students Matthew D. Marcinkowski (chemistry) and Ming Yang (chemical engineering), and Lawrence F. Allard, Ph.D., of the Materials Science & Technology Division, Oak Ridge National Laboratory, who led the state of the art imaging of the catalytic samples.

Funding for this work came from the Department of Energy, grant DE-FG02-05ER15730, and the National Science Foundation, grant CBET-1159882.

"Selective hydrogenation of butadiene on platinum copper alloys at the single atom limit," Nature Communications, DOI: 10.1038/NCOMMS9550.

####

About Tufts University
Tufts University, located on three Massachusetts campuses in Boston, Medford/Somerville and Grafton, and in Talloires, France, is recognized among the premier research universities in the United States. Tufts enjoy a global reputation for academic excellence and for the preparation of students as leaders in a wide range of professions. A growing number of innovative teaching and research initiatives span all Tufts campuses, and collaboration among the faculty and students in the undergraduate, graduate and professional programs across the university's schools is widely encouraged.

For more information, please click here

Contacts:
Kim Thurler

617-627-3175

Copyright © Tufts University

If you have a comment, please Contact us.

Issuers of news releases, not 7th Wave, Inc. or Nanotechnology Now, are solely responsible for the accuracy of the content.

Bookmark:
Delicious Digg Newsvine Google Yahoo Reddit Magnoliacom Furl Facebook

Related News Press

Chemistry

Projecting light to dispense liquids: A new route to ultra-precise microdroplets January 30th, 2026

From sensors to smart systems: the rise of AI-driven photonic noses January 30th, 2026

"Nanoreactor" cage uses visible light for catalytic and ultra-selective cross-cycloadditions October 3rd, 2025

Cambridge chemists discover simple way to build bigger molecules – one carbon at a time June 6th, 2025

Single-atom catalysts change spin state when boosted by a magnetic field June 4th, 2025

News and information

Decoding hydrogen‑bond network of electrolyte for cryogenic durable aqueous zinc‑ion batteries January 30th, 2026

COF scaffold membrane with gate‑lane nanostructure for efficient Li+/Mg2+ separation January 30th, 2026

Breathing new life into nanotubes for a cooler planet:Researchers at Skoltech discover a simple, single-step heat treatment that nearly doubles the CO2-trapping power of carbon nanotubes January 30th, 2026

New light-based nanotechnology could enable more precise, less harmful cancer treatment: The approach offers a potential alternative to chemotherapy and radiation by using light and heat to target cancer cells. January 30th, 2026

Laboratories

Researchers develop molecular qubits that communicate at telecom frequencies October 3rd, 2025

Govt.-Legislation/Regulation/Funding/Policy

Metasurfaces smooth light to boost magnetic sensing precision January 30th, 2026

New imaging approach transforms study of bacterial biofilms August 8th, 2025

INRS and ELI deepen strategic partnership to train the next generation in laser science:PhD students will benefit from international mobility and privileged access to cutting-edge infrastructure June 6th, 2025

Electrifying results shed light on graphene foam as a potential material for lab grown cartilage June 6th, 2025

Discoveries

From sensors to smart systems: the rise of AI-driven photonic noses January 30th, 2026

Decoding hydrogen‑bond network of electrolyte for cryogenic durable aqueous zinc‑ion batteries January 30th, 2026

COF scaffold membrane with gate‑lane nanostructure for efficient Li+/Mg2+ separation January 30th, 2026

Breathing new life into nanotubes for a cooler planet:Researchers at Skoltech discover a simple, single-step heat treatment that nearly doubles the CO2-trapping power of carbon nanotubes January 30th, 2026

Materials/Metamaterials/Magnetoresistance

First real-time observation of two-dimensional melting process: Researchers at Mainz University unveil new insights into magnetic vortex structures August 8th, 2025

Researchers unveil a groundbreaking clay-based solution to capture carbon dioxide and combat climate change June 6th, 2025

A 1960s idea inspires NBI researchers to study hitherto inaccessible quantum states June 6th, 2025

Institute for Nanoscience hosts annual proposal planning meeting May 16th, 2025

Announcements

Decoding hydrogen‑bond network of electrolyte for cryogenic durable aqueous zinc‑ion batteries January 30th, 2026

COF scaffold membrane with gate‑lane nanostructure for efficient Li+/Mg2+ separation January 30th, 2026

Breathing new life into nanotubes for a cooler planet:Researchers at Skoltech discover a simple, single-step heat treatment that nearly doubles the CO2-trapping power of carbon nanotubes January 30th, 2026

New light-based nanotechnology could enable more precise, less harmful cancer treatment: The approach offers a potential alternative to chemotherapy and radiation by using light and heat to target cancer cells. January 30th, 2026

Interviews/Book Reviews/Essays/Reports/Podcasts/Journals/White papers/Posters

Metasurfaces smooth light to boost magnetic sensing precision January 30th, 2026

COF scaffold membrane with gate‑lane nanostructure for efficient Li+/Mg2+ separation January 30th, 2026

Breathing new life into nanotubes for a cooler planet:Researchers at Skoltech discover a simple, single-step heat treatment that nearly doubles the CO2-trapping power of carbon nanotubes January 30th, 2026

New light-based nanotechnology could enable more precise, less harmful cancer treatment: The approach offers a potential alternative to chemotherapy and radiation by using light and heat to target cancer cells. January 30th, 2026

Automotive/Transportation

Decoding hydrogen‑bond network of electrolyte for cryogenic durable aqueous zinc‑ion batteries January 30th, 2026

Hanbat National University researchers present new technique to boost solid oxide fuel cell performance: Researchers demonstrate cobalt exsolution in solid oxide fuel cell cathodes in oxidizing atmospheres, presenting a new direction for fuel cell research October 3rd, 2025

Sensors innovations for smart lithium-based batteries: advancements, opportunities, and potential challenges August 8th, 2025

Simple algorithm paired with standard imaging tool could predict failure in lithium metal batteries August 8th, 2025

Fuel Cells

Hanbat National University researchers present new technique to boost solid oxide fuel cell performance: Researchers demonstrate cobalt exsolution in solid oxide fuel cell cathodes in oxidizing atmospheres, presenting a new direction for fuel cell research October 3rd, 2025

Deciphering local microstrain-induced optimization of asymmetric Fe single atomic sites for efficient oxygen reduction August 8th, 2025

Current and Future Developments in Nanomaterials and Carbon Nanotubes: Applications of Nanomaterials in Energy Storage and Electronics October 28th, 2022

The “dense” potential of nanostructured superconductors: Scientists use unconventional spark plasma sintering method to prepare highly dense superconducting bulk magnesium diboride with a high current density October 7th, 2022

Research partnerships

Lab to industry: InSe wafer-scale breakthrough for future electronics August 8th, 2025

INRS and ELI deepen strategic partnership to train the next generation in laser science:PhD students will benefit from international mobility and privileged access to cutting-edge infrastructure June 6th, 2025

Superconductors: Amazingly orderly disorder: A surprising effect was discovered through a collaborative effort by researchers from TU Wien and institutions in Croatia, France, Poland, Singapore, Switzerland, and the US during the investigation of a special material: the atoms are May 14th, 2025

HKU physicists uncover hidden order in the quantum world through deconfined quantum critical points April 25th, 2025

NanoNews-Digest
The latest news from around the world, FREE




  Premium Products
NanoNews-Custom
Only the news you want to read!
 Learn More
NanoStrategies
Full-service, expert consulting
 Learn More











ASP
Nanotechnology Now Featured Books




NNN

The Hunger Project