Nanotechnology Now

Our NanoNews Digest Sponsors
Heifer International



Home > Press > Getting through the bottleneck—A new class of layered perovskite with high oxygen-ion conductivity

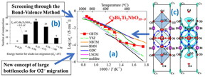
Figure 1. The mechanism, design concept, and structural characteristics that afford high oxide-ion conductivity in CsBi2Ti2NbO10-δ
(a) The oxide-ion conductivity of CsBi2Ti2NbO10-δ is higher than those of many materials reported previously. (b) By screening sixty-nine potential materials using the bond-valence method, CsBi2Ti2NbO10-δ was selected. A new design concept for its high oxide-ion conductivity is proposed: enlarged bottlenecks. (c) Structure of CsBi2Ti2NbO10-δ (left) and the bond-valence-based energy landscape for an oxide ion at 0.6 eV (right), which marks all the possible oxide-ion migration paths. The bottlenecks for oxide-ion migration are enlarged in CsBi2Ti2NbO10-δ.
Figure 1. The mechanism, design concept, and structural characteristics that afford high oxide-ion conductivity in CsBi2Ti2NbO10-δ (a) The oxide-ion conductivity of CsBi2Ti2NbO10-δ is higher than those of many materials reported previously. (b) By screening sixty-nine potential materials using the bond-valence method, CsBi2Ti2NbO10-δ was selected. A new design concept for its high oxide-ion conductivity is proposed: enlarged bottlenecks. (c) Structure of CsBi2Ti2NbO10-δ (left) and the bond-valence-based energy landscape for an oxide ion at 0.6 eV (right), which marks all the possible oxide-ion migration paths. The bottlenecks for oxide-ion migration are enlarged in CsBi2Ti2NbO10-δ.

Abstract:
Scientists at the Tokyo Institute of Technology (Tokyo Tech) have discovered a layered perovskite that shows unusually high oxide-ion conductivity, based on a new screening method and a new design concept. Such materials are hard to come by, so the discovery of this material, the new method and design concept will make the realization of many environment-friendly technologies.

Getting through the bottleneck—A new class of layered perovskite with high oxygen-ion conductivity

Tokyo, Japan | Posted on April 29th, 2020

Upon hearing the word "conductor" in reference to chemistry, most will immediately think of the movement of electrons within a material. But electrons are not the only particles that can move across a material; oxide ions can too. Many materials scientists and engineers are currently searching for materials with high oxide-ion conductivity. Such materials have many potential applications, particularly in the development of environmentally friendly technologies. For example, oxide-ion conductors could be used in fuel cells, which directly convert clean fuel such as hydrogen into electrical energy, or in oxygen separation membranes, which could be useful in systems for capturing the CO2 we produce by burning coal or fossil fuels.

Unfortunately, high oxide-ion conductivities can be achieved by a limited number of structure families of materials. The perovskites are one such structure family. Perovskites and layered perovskites have special crystal structures that sometimes exhibit outstanding physical and chemical properties. Prof. Masatomo Yashima and colleagues from the Tokyo Institute of Technology studied a class of layered perovskites, a Dion–Jacobson phase, where two-dimensional perovskite-like "slabs" are stacked and separated by a layer of alkali metal ions, such as the cesium cation (Cs+). In their paper published in Nature Communications outer, Professor Yashima and his colleagues explain their motivation: "Numerous studies have been conducted on the electrical properties of Dion–Jacobson phases, such as their proton, lithium-ion and sodium-ion conduction. However, there are no reports on the oxide-ion conduction in Dion–Jacobson phases."

In their study, the scientists first screened sixty-nine potential Dion–Jacobson phases using the bond-valence method. This method allowed them to calculate the energy barriers for oxide-ion migration in each Dion–Jacobson phase, from which they identified CsBi2Ti2NbO10-δ (CBTN) as a promising candidate because it has a low energy barrier and does not contain expensive rare-earth elements. Further, they prepared CBTN samples and found that the oxide-ion conductivity of CBTN was higher than those of many other oxide-ion conductors, such as the conventional yttria-stabilized zirconia (Figure 1).

To understand what causes such high oxide-ion conductivity in CBTN, the scientists analyzed its crystal structure and watched how the structure changes with temperature. Using a super-high-resolution neutron diffractometer, SuperHRPD at J-PARC, they then identified several possible paths across the crystal lattice through which oxide ions could migrate at high temperatures (Figure 1c). Most importantly, they discovered a novel mechanism that seems to be one of the causes of the high oxide-ion conductivity: Rise in temperature makes oxygen vacancies appear, which facilitate oxide-ion migration. The large Cs cations and the displacement of the Bi ions in the structure at high temperatures expand the bottlenecks, enabling oxide-ion migration.

This study paves the way for finding inexpensive novel oxide-ion conductors. Based on this oxide-ion conduction mechanism, one can enhance the oxide-ion conductivities of materials of the CBTN family by modifying the chemical composition of CBTN through the addition of impurities (doping). "The present findings of high oxide-ion conductivity in this new structure family, the Dion–Jacobson-type CsBi2Ti2NbO10-δ, and the new enlarged bottleneck concept introduced, could facilitate the design of novel oxide-ion conductors based on Dion–Jacobson phases," Prof. Yashima and his colleagues conclude. The findings of this study open up the possibilities for many novel applications that will lead to a sustainable future. In fact, the present work was chosen as Editors' Highlights outer of Nature Communications.

####

For more information, please click here

Contacts:
Further Information

Professor Masatomo Yashima

Department of Chemistry, School of Science,
Tokyo Institute of Technology

Email
Tel +81-3-5734-2225

Contact

Public Relations Section, Tokyo Institute of Technology

Email
Tel +81-3-5734-2975

Hajime Hikino

Head, Public Relations Office,
High Energy Accelerator Research Organization (KEK)

Email
Tel +81-29-879-6047

Minako Abe

Public Relations Section, Japan Proton Accelerator Research Complex (J-PARC)

Email
Tel +81-29-284-4578

Copyright © Tokyo Institute of Technology

If you have a comment, please Contact us.

Issuers of news releases, not 7th Wave, Inc. or Nanotechnology Now, are solely responsible for the accuracy of the content.

Bookmark:
Delicious Digg Newsvine Google Yahoo Reddit Magnoliacom Furl Facebook

Related Links

Reference

Related News Press

News and information

Decoding hydrogen‑bond network of electrolyte for cryogenic durable aqueous zinc‑ion batteries January 30th, 2026

COF scaffold membrane with gate‑lane nanostructure for efficient Li+/Mg2+ separation January 30th, 2026

Breathing new life into nanotubes for a cooler planet:Researchers at Skoltech discover a simple, single-step heat treatment that nearly doubles the CO2-trapping power of carbon nanotubes January 30th, 2026

New light-based nanotechnology could enable more precise, less harmful cancer treatment: The approach offers a potential alternative to chemotherapy and radiation by using light and heat to target cancer cells. January 30th, 2026

Perovskites

Hanbat National University researchers present new technique to boost solid oxide fuel cell performance: Researchers demonstrate cobalt exsolution in solid oxide fuel cell cathodes in oxidizing atmospheres, presenting a new direction for fuel cell research October 3rd, 2025

KAIST researchers introduce new and improved, next-generation perovskite solar cell​ November 8th, 2024

Efficient and stable hybrid perovskite-organic light-emitting diodes with external quantum efficiency exceeding 40 per cent July 5th, 2024

Shedding light on perovskite hydrides using a new deposition technique: Researchers develop a methodology to grow single-crystal perovskite hydrides, enabling accurate hydride conductivity measurements May 17th, 2024

Possible Futures

Decoding hydrogen‑bond network of electrolyte for cryogenic durable aqueous zinc‑ion batteries January 30th, 2026

COF scaffold membrane with gate‑lane nanostructure for efficient Li+/Mg2+ separation January 30th, 2026

Breathing new life into nanotubes for a cooler planet:Researchers at Skoltech discover a simple, single-step heat treatment that nearly doubles the CO2-trapping power of carbon nanotubes January 30th, 2026

New light-based nanotechnology could enable more precise, less harmful cancer treatment: The approach offers a potential alternative to chemotherapy and radiation by using light and heat to target cancer cells. January 30th, 2026

Discoveries

From sensors to smart systems: the rise of AI-driven photonic noses January 30th, 2026

Decoding hydrogen‑bond network of electrolyte for cryogenic durable aqueous zinc‑ion batteries January 30th, 2026

COF scaffold membrane with gate‑lane nanostructure for efficient Li+/Mg2+ separation January 30th, 2026

Breathing new life into nanotubes for a cooler planet:Researchers at Skoltech discover a simple, single-step heat treatment that nearly doubles the CO2-trapping power of carbon nanotubes January 30th, 2026

Announcements

Decoding hydrogen‑bond network of electrolyte for cryogenic durable aqueous zinc‑ion batteries January 30th, 2026

COF scaffold membrane with gate‑lane nanostructure for efficient Li+/Mg2+ separation January 30th, 2026

Breathing new life into nanotubes for a cooler planet:Researchers at Skoltech discover a simple, single-step heat treatment that nearly doubles the CO2-trapping power of carbon nanotubes January 30th, 2026

New light-based nanotechnology could enable more precise, less harmful cancer treatment: The approach offers a potential alternative to chemotherapy and radiation by using light and heat to target cancer cells. January 30th, 2026

Interviews/Book Reviews/Essays/Reports/Podcasts/Journals/White papers/Posters

Metasurfaces smooth light to boost magnetic sensing precision January 30th, 2026

COF scaffold membrane with gate‑lane nanostructure for efficient Li+/Mg2+ separation January 30th, 2026

Breathing new life into nanotubes for a cooler planet:Researchers at Skoltech discover a simple, single-step heat treatment that nearly doubles the CO2-trapping power of carbon nanotubes January 30th, 2026

New light-based nanotechnology could enable more precise, less harmful cancer treatment: The approach offers a potential alternative to chemotherapy and radiation by using light and heat to target cancer cells. January 30th, 2026

Environment

Breathing new life into nanotubes for a cooler planet:Researchers at Skoltech discover a simple, single-step heat treatment that nearly doubles the CO2-trapping power of carbon nanotubes January 30th, 2026

Researchers unveil a groundbreaking clay-based solution to capture carbon dioxide and combat climate change June 6th, 2025

New gel could boost coral reef restoration: The substance, applied to surfaces as a coating, improved coral larvae settlement by up to 20 times in experiments compared to untreated surfaces May 16th, 2025

Onion-like nanoparticles found in aircraft exhaust May 14th, 2025

Energy

Hanbat National University researchers present new technique to boost solid oxide fuel cell performance: Researchers demonstrate cobalt exsolution in solid oxide fuel cell cathodes in oxidizing atmospheres, presenting a new direction for fuel cell research October 3rd, 2025

Sensors innovations for smart lithium-based batteries: advancements, opportunities, and potential challenges August 8th, 2025

Simple algorithm paired with standard imaging tool could predict failure in lithium metal batteries August 8th, 2025

Portable Raman analyzer detects hydrogen leaks from a distance: Device senses tiny concentration changes of hydrogen in ambient air, offering a dependable way to detect and locate leaks in pipelines and industrial systems April 25th, 2025

Solar/Photovoltaic

Spinel-type sulfide semiconductors to operate the next-generation LEDs and solar cells For solar-cell absorbers and green-LED source October 3rd, 2025

KAIST researchers introduce new and improved, next-generation perovskite solar cell​ November 8th, 2024

Groundbreaking precision in single-molecule optoelectronics August 16th, 2024

Development of zinc oxide nanopagoda array photoelectrode: photoelectrochemical water-splitting hydrogen production January 12th, 2024

NanoNews-Digest
The latest news from around the world, FREE




  Premium Products
NanoNews-Custom
Only the news you want to read!
 Learn More
NanoStrategies
Full-service, expert consulting
 Learn More











ASP
Nanotechnology Now Featured Books




NNN

The Hunger Project